
Job opportunities within the Madison County, North Carolina school system encompass a diverse range of positions, from educators and administrators to support staff and maintenance personnel. These roles are essential for fostering... Read more »

Obtaining academic records from a secondary educational institution, such as James Madison High School, is a common process. This documentation provides an official record of courses taken, grades earned, and graduation status.... Read more »

Employment opportunities within the educational system of a specific geographic region encompass a wide range of positions, from educators and administrators to support staff and other specialized roles. For example, open positions... Read more »

The athletic program at Groveport Madison High School includes a varsity football team. This team competes against other high schools, typically within the same state athletic conference and division, providing students with... Read more »

The academic calendar for the Madison County school district during the 2024-2025 school year provides important dates for students, parents, and staff. This typically includes the first and last days of school,... Read more »

Employment opportunities within the Madison County, North Carolina, school system encompass a diverse range of positions, from educators and administrators to support staff and maintenance personnel. These roles contribute to the educational... Read more »

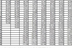
The compensation structure for educators within the Madison County, Alabama school system is a formalized system outlining earnings based on factors such as experience, education level, and position held. This structure typically... Read more »

Employment opportunities within the educational system of a specific geographic region encompass a wide array of positions, from educators and administrators to support staff and specialized roles. These roles contribute to the... Read more »

Employment opportunities within the educational system of a specific geographic region encompass a variety of roles, from educators and administrators to support staff and specialized personnel. These positions contribute to the overall... Read more »


